Image:GS Step2.png
From Proteopedia

Size of this preview: 800 × 297 pixels
Full resolution (1567 × 581 pixel, file size: 249 KB, MIME type: image/png)
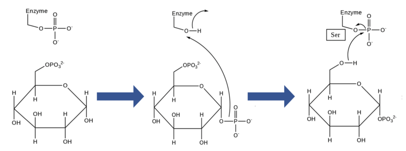
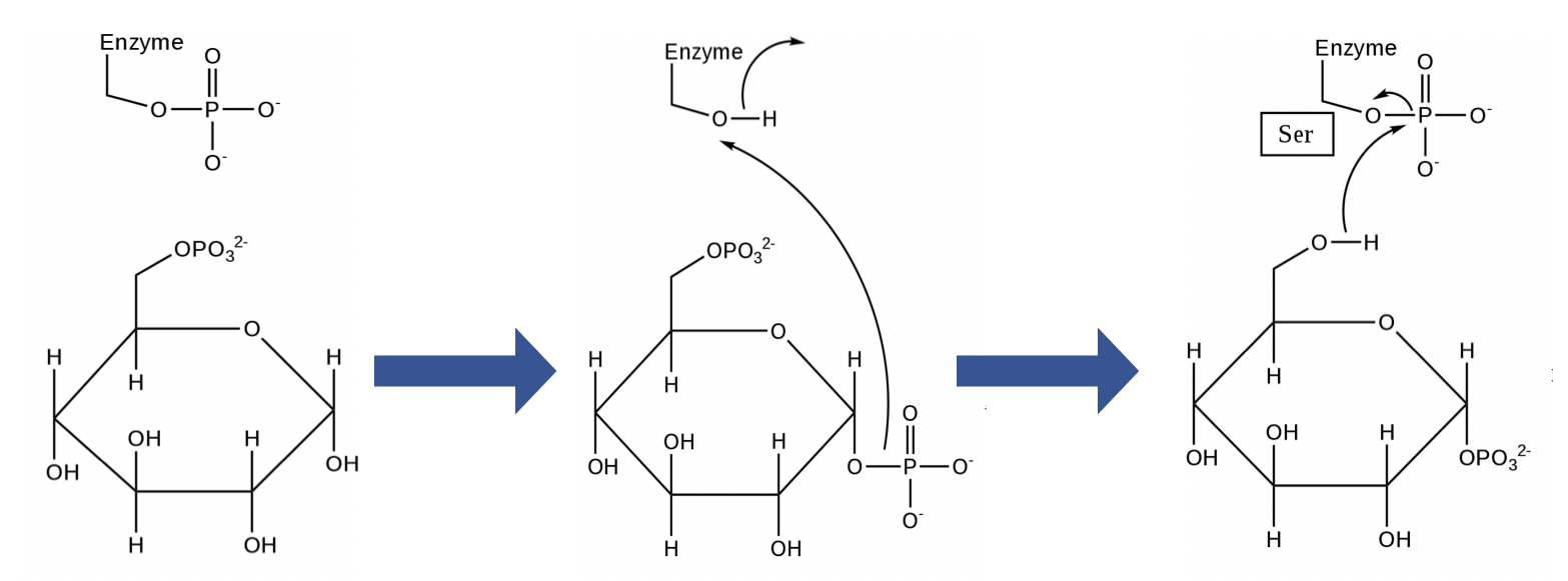
This image shows the isomerization of glucose 6- phosphate to glucose 1- phosphate by phosphoglucomutase.
File history
Click on a date/time to view the file as it appeared at that time.
Date/Time | User | Dimensions | File size | Comment | |
---|---|---|---|---|---|
(current) | 23:10, 8 April 2019 | Emilie Colon (Talk | contribs) | 1567×581 | 249 KB | This image shows the isomerization of glucose 6- phosphate to glucose 1- phosphate by phosphoglucomutase. |
- Edit this file using an external application
See the setup instructions for more information.
Links
The following pages link to this file: