Image:MCSA5.png
From Proteopedia
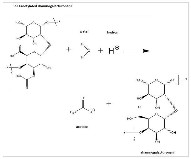
Enzyme reaction catalyzed by 1pp4, EC 3.1.1.86, rhamnogalacturonan acetylesterase. The scheme was adapted from M-CSA and created in ChemDraw.
File history
Click on a date/time to view the file as it appeared at that time.
Date/Time | User | Dimensions | File size | Comment | |
---|---|---|---|---|---|
(current) | 16:06, 10 March 2024 | Gregg T. Holliday (Talk | contribs) | 610×507 | 76 KB | Enzyme reaction catalyzed by 1pp4, EC 3.1.1.86, rhamnogalacturonan acetylesterase. The scheme was adapted from M-CSA and created in ChemDraw. |
- Edit this file using an external application
See the setup instructions for more information.
Links
The following pages link to this file: