Image:Screen Shot 2013-12-03 at 10.22.56 PM.png
From Proteopedia

No higher resolution available.
Screen_Shot_2013-12-03_at_10.22.56_PM.png (670 × 334 pixel, file size: 67 KB, MIME type: image/png)
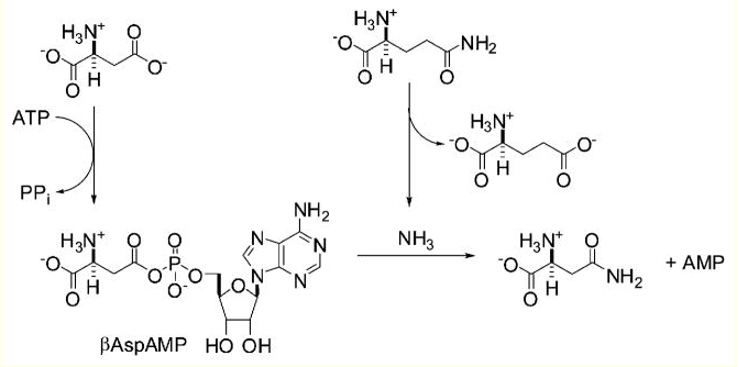
This is a proposed mechanism for ASNS-B
File history
Click on a date/time to view the file as it appeared at that time.
Date/Time | User | Dimensions | File size | Comment | |
---|---|---|---|---|---|
(current) | 03:25, 4 December 2013 | Louis Muccio (Talk | contribs) | 670×334 | 67 KB | This is a proposed mechanism for ASNS-B |
- Edit this file using an external application
See the setup instructions for more information.
Links
The following pages link to this file: