This old version of Proteopedia is provided for student assignments while the new version is undergoing repairs. Content and edits done in this old version of Proteopedia after March 1, 2026 will eventually be lost when it is retired in about June of 2026.
Apply for new accounts at the new Proteopedia. Your logins will work in both the old and new versions.
User:Megan Leaman/Sandbox 1
From Proteopedia
(Difference between revisions)
| Line 2: | Line 2: | ||
<StructureSection load='6VYI' size='350' frame='true' side='right' caption='Human Diacylglycerol O-Transferase 1 6VYI' scene=’His415 in Active Site’> | <StructureSection load='6VYI' size='350' frame='true' side='right' caption='Human Diacylglycerol O-Transferase 1 6VYI' scene=’His415 in Active Site’> | ||
== Introduction == | == Introduction == | ||
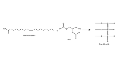
| - | [[Image: | + | [[Image:presentation1.png|400 px|right|thumb|Figure 1: Reaction of oleoyl-CoA with DAG to produce a triglyceride]] |
There are two families of DGAT proteins each with their own distinct cellular functions via synthesis of triacylglycerides from oleoyl-CoA. Diacylglycerol acyltransferase 1 (DGAT1) catalyzes the final and only committed step of [https://en.wikipedia.org/wiki/Triglyceride triacylclygerol synthesis] (Fig. 1). <ref name="Cases">PMID:9789033</ref> It does this by using diacylglycerol (DAG) and oleoyl CoA as substrates. DGAT1 is located in the membrane of the [https://en.wikipedia.org/wiki/Endoplasmic_reticulum endoplasmic reticulum] and is important for metabolism through its uptake of diacylglycerides and synthesis of triacylglicerides (Fig. 2). <ref name="Sui">PMID:32433611</ref> This metabolism is involved in intestinal fat absorption, lipoprotein assembly, lactation, and adipose tissue formation <ref name="Yen">PMID:18757836</ref>. | There are two families of DGAT proteins each with their own distinct cellular functions via synthesis of triacylglycerides from oleoyl-CoA. Diacylglycerol acyltransferase 1 (DGAT1) catalyzes the final and only committed step of [https://en.wikipedia.org/wiki/Triglyceride triacylclygerol synthesis] (Fig. 1). <ref name="Cases">PMID:9789033</ref> It does this by using diacylglycerol (DAG) and oleoyl CoA as substrates. DGAT1 is located in the membrane of the [https://en.wikipedia.org/wiki/Endoplasmic_reticulum endoplasmic reticulum] and is important for metabolism through its uptake of diacylglycerides and synthesis of triacylglicerides (Fig. 2). <ref name="Sui">PMID:32433611</ref> This metabolism is involved in intestinal fat absorption, lipoprotein assembly, lactation, and adipose tissue formation <ref name="Yen">PMID:18757836</ref>. | ||
[[Image:dgat with domains.png|400 px|right|thumb|Figure 2: DGAT1 with cytosolic, transmembrane, and luminal domains]] | [[Image:dgat with domains.png|400 px|right|thumb|Figure 2: DGAT1 with cytosolic, transmembrane, and luminal domains]] | ||
Revision as of 14:00, 27 April 2021
Human Diacylglycerol O-Transferase 1
| |||||||||||
References
[1] [10] [11] [12] [9] [13] [2] [4] [3]
- ↑ 1.0 1.1 Cases S, Smith SJ, Zheng YW, Myers HM, Lear SR, Sande E, Novak S, Collins C, Welch CB, Lusis AJ, Erickson SK, Farese RV Jr. Identification of a gene encoding an acyl CoA:diacylglycerol acyltransferase, a key enzyme in triacylglycerol synthesis. Proc Natl Acad Sci U S A. 1998 Oct 27;95(22):13018-23. PMID:9789033
- ↑ 2.0 2.1 2.2 2.3 2.4 2.5 2.6 2.7 Sui X, Wang K, Gluchowski NL, Elliott SD, Liao M, Walther TC, Farese RV Jr. Structure and catalytic mechanism of a human triacylglycerol-synthesis enzyme. Nature. 2020 May;581(7808):323-328. doi: 10.1038/s41586-020-2289-6. Epub 2020 May, 13. PMID:32433611 doi:http://dx.doi.org/10.1038/s41586-020-2289-6
- ↑ 3.0 3.1 Yen CL, Stone SJ, Koliwad S, Harris C, Farese RV Jr. Thematic review series: glycerolipids. DGAT enzymes and triacylglycerol biosynthesis. J Lipid Res. 2008 Nov;49(11):2283-301. doi: 10.1194/jlr.R800018-JLR200. Epub 2008, Aug 29. PMID:18757836 doi:http://dx.doi.org/10.1194/jlr.R800018-JLR200
- ↑ 4.0 4.1 4.2 4.3 4.4 4.5 4.6 Wang L, Qian H, Nian Y, Han Y, Ren Z, Zhang H, Hu L, Prasad BVV, Laganowsky A, Yan N, Zhou M. Structure and mechanism of human diacylglycerol O-acyltransferase 1. Nature. 2020 May;581(7808):329-332. doi: 10.1038/s41586-020-2280-2. Epub 2020 May, 13. PMID:32433610 doi:http://dx.doi.org/10.1038/s41586-020-2280-2
- ↑ Caldo, K., Acedo, J. Z., Panigrahi, R., Vederas, J. C., Weselake, R. J., & Lemieux, M. J. (2017). Diacylglycerol Acyltransferase 1 Is Regulated by Its N-Terminal Domain in Response to Allosteric Effectors. Plant physiology, 175(2), 667–680. https://doi.org/10.1104/pp.17.00934
- ↑ Denison, H., Nilsson, C., Löfgren, L., Himmelmann, A., Mårtensson, G., Knutsson, M., Al-Shurbaji, A., Tornqvist, H., & Eriksson, J. W. (2014). Diacylglycerol acyltransferase 1 inhibition with AZD7687 alters lipid handling and hormone secretion in the gut with intolerable side effects: a randomized clinical trial. Diabetes, obesity & metabolism, 16(4), 334–343. https://doi.org/10.1111/dom.12221
- ↑ Cao, J., Zhou, Y., Peng, H., Huang, X., Stahler, S., Suri, V., Qadri, A., Gareski, T., Jones, J., Hahm, S., Perreault, M., McKew, J., Shi, M., Xu, X., Tobin, J. F., & Gimeno, R. E. (2011). Targeting Acyl-CoA:diacylglycerol acyltransferase 1 (DGAT1) with small molecule inhibitors for the treatment of metabolic diseases. The Journal of biological chemistry, 286(48), 41838–41851. https://doi.org/10.1074/jbc.M111.245456
- ↑ Haas, J. T., Winter, H. S., Lim, E., Kirby, A., Blumenstiel, B., DeFelice, M., Gabriel, S., Jalas, C., Branski, D., Grueter, C. A., Toporovski, M. S., Walther, T. C., Daly, M. J., & Farese, R. V., Jr (2012). DGAT1 mutation is linked to a congenital diarrheal disorder. The Journal of clinical investigation, 122(12), 4680–4684. https://doi.org/10.1172/JCI64873
- ↑ 9.0 9.1 Gluchowski, N. L., Chitraju, C., Picoraro, J. A., Mejhert, N., Pinto, S., Xin, W., Kamin, D. S., Winter, H. S., Chung, W. K., Walther, T. C., & Farese, R. V., Jr (2017). Identification and characterization of a novel DGAT1 missense mutation associated with congenital diarrhea. Journal of lipid research, 58(6), 1230–1237. https://doi.org/10.1194/jlr.P075119
- ↑ Caldo, K., Acedo, J. Z., Panigrahi, R., Vederas, J. C., Weselake, R. J., & Lemieux, M. J. (2017). Diacylglycerol Acyltransferase 1 Is Regulated by Its N-Terminal Domain in Response to Allosteric Effectors. Plant physiology, 175(2), 667–680. https://doi.org/10.1104/pp.17.00934
- ↑ Cao, J., Zhou, Y., Peng, H., Huang, X., Stahler, S., Suri, V., Qadri, A., Gareski, T., Jones, J., Hahm, S., Perreault, M., McKew, J., Shi, M., Xu, X., Tobin, J. F., & Gimeno, R. E. (2011). Targeting Acyl-CoA:diacylglycerol acyltransferase 1 (DGAT1) with small molecule inhibitors for the treatment of metabolic diseases. The Journal of biological chemistry, 286(48), 41838–41851. https://doi.org/10.1074/jbc.M111.245456
- ↑ Denison, H., Nilsson, C., Löfgren, L., Himmelmann, A., Mårtensson, G., Knutsson, M., Al-Shurbaji, A., Tornqvist, H., & Eriksson, J. W. (2014). Diacylglycerol acyltransferase 1 inhibition with AZD7687 alters lipid handling and hormone secretion in the gut with intolerable side effects: a randomized clinical trial. Diabetes, obesity & metabolism, 16(4), 334–343. https://doi.org/10.1111/dom.12221
- ↑ Haas, J. T., Winter, H. S., Lim, E., Kirby, A., Blumenstiel, B., DeFelice, M., Gabriel, S., Jalas, C., Branski, D., Grueter, C. A., Toporovski, M. S., Walther, T. C., Daly, M. J., & Farese, R. V., Jr (2012). DGAT1 mutation is linked to a congenital diarrheal disorder. The Journal of clinical investigation, 122(12), 4680–4684. https://doi.org/10.1172/JCI64873
Student Contributors
- Megan Leaman
- Grace Hall
- Karina Latsko
