Sandbox Reserved 711
From Proteopedia
| Line 26: | Line 26: | ||
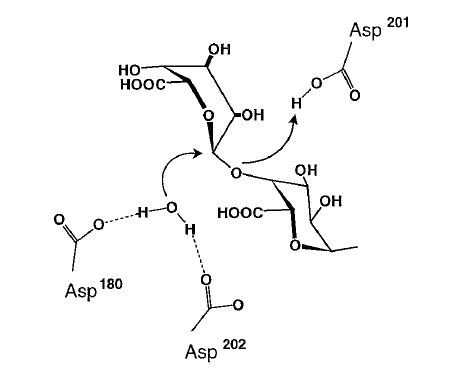
Asp180 and Asp202 bind the water molecule used in the hydrolyse and activate it, while Asp201, which is less exposed to the aqueous solvent, is stabilized its protonated state. In theses conditions, a bond can be built between the oxygen of the water and the carbon 1 of the galacturonic acid, whereas the bond between this carbon and the oxygen of the glycosidic bond is cleaved, the oxygen taking the proton released by Asp201.<ref>http://www.jbc.org/content/275/38/29348.short</ref> | Asp180 and Asp202 bind the water molecule used in the hydrolyse and activate it, while Asp201, which is less exposed to the aqueous solvent, is stabilized its protonated state. In theses conditions, a bond can be built between the oxygen of the water and the carbon 1 of the galacturonic acid, whereas the bond between this carbon and the oxygen of the glycosidic bond is cleaved, the oxygen taking the proton released by Asp201.<ref>http://www.jbc.org/content/275/38/29348.short</ref> | ||
| - | [[Image:proposed mechanism.png |center|'''proposed mechanism for family 28 of glycoside hydrolases''']] | + | [[Image:proposed mechanism.png |center|thumbs|'''proposed mechanism for family 28 of glycoside hydrolases''']] |
== Description of the structure == | == Description of the structure == | ||
Revision as of 23:02, 5 January 2013
Template:Sandbox ESBS 2012 ENDO-POLYGALACTURONASE II FROM ASPERGILLUS NIGER
Contents |
Introduction
The endo-polygalacturonase II (Polygalacturonase EC 3.2.1.15) of the fungus Aspergillus Niger is an enzyme which is involved in the rotting process. It specifically degrade polygalacturonate, a major carbohydrate constituent of plant cell wall pectin, by hydrolysis of the glycosidic bonds that link galacturonic acid residues.
Polygalacturonase belongs to the Glycoside hydrolysases 28 (GH28) according to the sequence-based classification of glycoside hydrolysases. The enzyme of the GH28 family achieves the hydrolysis with an inverting molecular mechanism.
Glycoside hydrolases and pectinases
The endopolygalacturonase II belongs to the family of glycoside hydrolases, enzymes that hydrolyse glycosidic bonds in polysaccharidic chains and release smaller sugars, classified in the EC 3.2.1.x group. Within this family, endopolygalacturonases are pectinases, enzymes involved in the degradation of pectin, a polymer of galacturonic acid and rhamnose that is the jelly-like component of plant cell walls. Endopolygalacturonase II is part of the family 28 of glycoside hydrolases. It is not the only endopolygalacturonase from A. niger - a family of seven genes encode such enzymes, and six different proteins have been identified: endopolygalacturonases I, II, A, B, C and E.
The catalysed reaction
The endopolygalacturonase II is an endo-acting enzyme that hydrolyses alpha(1,4)-glycosidic bonds between the D-galacturonic acid monomeres of pectin chains. One of its particularities is the inversion of configuration that occurs during the reaction. Its functionning is optimal at a pH of 4.2 and with a non-methylated substrate.[1]
The putative mechanism is the following: Asp180 and Asp202 bind the water molecule used in the hydrolyse and activate it, while Asp201, which is less exposed to the aqueous solvent, is stabilized its protonated state. In theses conditions, a bond can be built between the oxygen of the water and the carbon 1 of the galacturonic acid, whereas the bond between this carbon and the oxygen of the glycosidic bond is cleaved, the oxygen taking the proton released by Asp201.[2]
Description of the structure
The endopolygalacturonase II from Aspergillus niger has a beta-helix structure[3]: the chain folds into 10 turns, shaping the faces of a right-handed helix consisting in 4 parallel beta-sheets - PB1, PB2a, PB2b and PB3 - separated by loops. The helix is closed at its N-terminal end by a small alpha-helix. 4 disulfide bridges, conserved in all endopolygalacturonases of A. Niger, hold together different parts of the chain, and particularily one of these attaches the N-terminal helix to the PB2b sheet.
The loops separating PB1 and PB2a are longer on the C-terminal end, and those between PB3 and PB1 on the N-terminal end, what forms a cleft between two extensions outside of the the beta-helix. Its shape, open at both ends of the protein, allows the fixation of a linear glucidic chain, and is suited to the endohydrolytic mode of action. This cleft is a higly conserved region.
8 particular amino-acids in this region are strictly conserved among polygalacturonases from other fungal and bacterial species: Asn178, Asp180, Asp201, Asp202, His223, Gly224, Arg256, and Lys258.
The residues directly involved in the catalytic activity seem to be Asp180, Asp201, Asp202, and His223, that form a plane above which space is available, while Arg256 and Lys258 would bind the substrate. Gly224, at the bottom of the cleft, doesn't point out of the helix.
Endo-polygalacturonase II applications
The agro-alimentary industry use endo-polygalacturonase for the production of fruit juices for example. During fruit processing it is necessary to eliminate the pectin which are released in order to gain some time in the filtration stage and so enhance the production at the end of the process. Polygalacturonase is known to catalyze the breakdown of pectin-containing substrates So polygalacturonases are used for deproteinization of fruit juices, for maceration of fruits and vegetables, and for extraction of vegetable oils
Pulp and paper industry use polygalacturonase too. In this industry, the most important component is cellulose. Polygalacturonases degrade the pectin present in the vegetal cell wall. So, you can easily have access to the cellulose and separate it from the others component like lignin.
Because polygalacturonases are responsible for the rotten aspect of the fruit. It was shown that when fruit rotten there is an increase of the rate of polygalacturonases. GMO fruits without these enzymes were created to make them look fresh and consumable longer, so that they can be sold longer.
References
- ↑ http://onlinelibrary.wiley.com/doi/10.1046/j.1432-1327.1999.00080.x/full
- ↑ http://www.jbc.org/content/275/38/29348.short
- ↑ http://www.ncbi.nlm.nih.gov/pubmed/10521427
External links
Contributors
Claire Baranger, Adeline Pauli


