Sandbox Reserved 766
From Proteopedia
(→Introduction) |
(→Introduction) |
||
| Line 6: | Line 6: | ||
== Introduction == | == Introduction == | ||
| - | [[Image:Screen Shot 2013-12-04 at 8.12.38 PM.png|left| | + | [[Image:Screen Shot 2013-12-04 at 8.12.38 PM.png|left|300px|]] |
'''Asparagine Synthetase''' (ASNS) is an enzyme that catalyzes the conversion of Aspartic Acid to Asparagine through an ATP dependent amination reaction. ASNS can be found in both plants and mammals, however, in plants there are two forms ASNS-A and ASNS-B. Both forms use the same starting molecule of Aspartic Acid and produce Asparagine, the only difference coming from the source of the Nitrogen. ASNS-A uses inorganic Nitrogen in the form of N2 and ASNS-B uses Glutamine as its Nitrogen source; ASNS-B will be the focus of this page because it is very similar and undergoes the same reaction as ASNS in mammals. | '''Asparagine Synthetase''' (ASNS) is an enzyme that catalyzes the conversion of Aspartic Acid to Asparagine through an ATP dependent amination reaction. ASNS can be found in both plants and mammals, however, in plants there are two forms ASNS-A and ASNS-B. Both forms use the same starting molecule of Aspartic Acid and produce Asparagine, the only difference coming from the source of the Nitrogen. ASNS-A uses inorganic Nitrogen in the form of N2 and ASNS-B uses Glutamine as its Nitrogen source; ASNS-B will be the focus of this page because it is very similar and undergoes the same reaction as ASNS in mammals. | ||
Revision as of 01:18, 5 December 2013
| This Sandbox is Reserved from Sep 25, 2013, through Mar 31, 2014 for use in the course "BCH455/555 Proteins and Molecular Mechanisms" taught by Michael B. Goshe at the North Carolina State University. This reservation includes Sandbox Reserved 299, Sandbox Reserved 300 and Sandbox Reserved 760 through Sandbox Reserved 779. |
To get started:
More help: Help:Editing |
|
Contents |
Introduction
Asparagine Synthetase (ASNS) is an enzyme that catalyzes the conversion of Aspartic Acid to Asparagine through an ATP dependent amination reaction. ASNS can be found in both plants and mammals, however, in plants there are two forms ASNS-A and ASNS-B. Both forms use the same starting molecule of Aspartic Acid and produce Asparagine, the only difference coming from the source of the Nitrogen. ASNS-A uses inorganic Nitrogen in the form of N2 and ASNS-B uses Glutamine as its Nitrogen source; ASNS-B will be the focus of this page because it is very similar and undergoes the same reaction as ASNS in mammals.
Structure
Asparagine Synthetase is a homodimer comprised of two identical domains ligated together. ASPS consists of a Glutamine Amidotransferase type-2 (residues 2-191) and and Asparagine Synthetase complex (residues 213-536). There are two specific domains that contain the substrate binding sites. The N-terminal domain which contains two layers of anti-parallel beta sheets comprised of six layers each,(site PDB)this is where the Glutamine binds. A C-terminal domain also exists, it is comprised of five parallel beta sheets with alpha helices on either side of it, (site PDB) this is where the Mg2+, ATP and Aspartic Acid bind. The two active sites contained within the terminal domains are linked together by a tunnel of hydrophobic and polar surface amino acid residues.
Amino Acid Composition
The Entire amino acid sequence for this enzyme complex can be found below.
Function
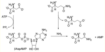
Asparagine Synthetase catalyzes the interconversion of Aspartic Acid and Glutamine to Asparagine and Glutamic Acid. This is not a straight forward transferase reaction since the interconversion is not directly between Aspartic Acid and Glutamine. Instead this reaction more closely resembles a two part ATP dependent ligase reaction. ASNS has two distinct pockets; one where Adenosine Triphosphate (ATP) binds and is stabilized by the hydrogen bonds it forms with Ser 346 (Gamma Oxygen) and amide groups of Val 272, Leu 232 and Gly 347. This binding of ATP to the N-Terminal domain is to stabilize the intermediate it forms with the Aspartic Acid; Beta-Aspartyl AMP (BAspAMP). This intermediate complex has to bind to the ASNS enzyme before the Glutamine binds into its pocket to establish coordination of the binding sites within the ASNS enzyme. After the BAspAMP intermediate binds to its pocket and establishes the coordination of the enzyme the Glutamine binds to it pocket in the C-Terminal domain and is stabilized specifically by its bonds with Arg 49, Asn 74, Glu 76, and Asp 98 residues. Once the sumstrates have been bound and stabilized free water hydrolyzes the amine group on the side chain of Glutamine causing the newly formed ammonia (NH3) group to detach leaving a carboxylate ion as the new functional group converting the Glutamine to Glutamate. The free Ammonia molecule then binds with the carbonyl carbon of the BAspAMP complex forcing the carbonyl carbon of the Aspartic Acid residue to favor the amine group both electrochemically and sterically and break its bond with the AMP releasing it and forming a free Asparagine molecule, excess water in the environment then protonates the Glutamate into a free form Glutamic Acid molecule. This can be seen in figure 1. The main difference between ASNS-B and ASNS-A is that instead of using Glutamine for the Nitrogen source for this reaction ASNS-A uses ammonia directly.
