Image:Modified Steps.png
From Proteopedia
(Difference between revisions)

Size of this preview: 800 × 200 pixels
Full resolution (888 × 222 pixel, file size: 28 KB, MIME type: image/png)
Current revision
Summary
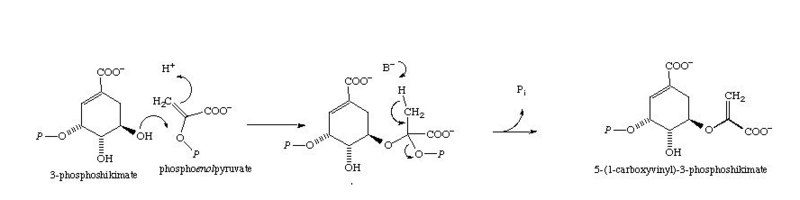
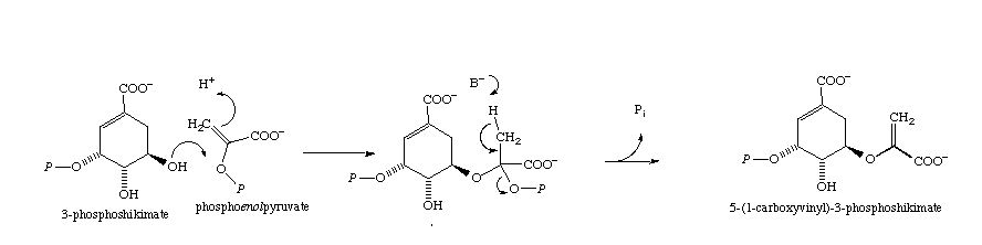
Edited Image of the Mechanism of EPSP synthase
Licensing
{{subst:No license from license selector|Somewebsite}}
File history
Click on a date/time to view the file as it appeared at that time.
Date/Time | User | Dimensions | File size | Comment | |
---|---|---|---|---|---|
(current) | 16:51, 25 November 2014 | Tin Nguyen (Talk | contribs) | 888×222 | 28 KB | Edited Image of the Mechanism of EPSP synthase |
- Edit this file using an external application
See the setup instructions for more information.
Links
The following pages link to this file: