This old version of Proteopedia is provided for student assignments while the new version is undergoing repairs. Content and edits done in this old version of Proteopedia after March 1, 2026 will eventually be lost when it is retired in about June of 2026.
Apply for new accounts at the new Proteopedia. Your logins will work in both the old and new versions.
Class C beta-lactamase
From Proteopedia
(Difference between revisions)
(→Background and beta-lactam antibiotics) |
|||
| Line 5: | Line 5: | ||
== Background and beta-lactam antibiotics == | == Background and beta-lactam antibiotics == | ||
<StructureSection load='1stp' size='340' side='right' caption='Caption for this structure' scene=''> | <StructureSection load='1stp' size='340' side='right' caption='Caption for this structure' scene=''> | ||
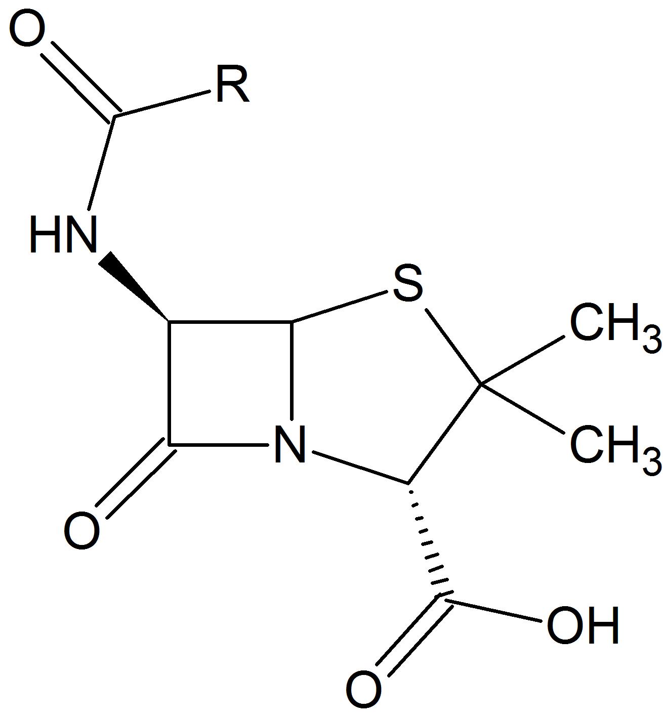
| - | Since the discovery of penicillin in the late 1920s, β-lactam antibiotics, characterized by their central chemical structure, the β-lactam ring, have played an important role in human health (Fig 1). Unfortunately, extensive use, and often misuse, of such drugs has led to an increased resistance in many species of bacterium resulting in major clinical treatment dilemmas. Each year in the United States alone, a minimum of 2 million people are infected with drug-resistant bacteria and of those 2 million, at least 23,000 infections result in <ref>fatality.< | + | Since the discovery of penicillin in the late 1920s, β-lactam antibiotics, characterized by their central chemical structure, the β-lactam ring, have played an important role in human health (Fig 1). Unfortunately, extensive use, and often misuse, of such drugs has led to an increased resistance in many species of bacterium resulting in major clinical treatment dilemmas. Each year in the United States alone, a minimum of 2 million people are infected with drug-resistant bacteria and of those 2 million, at least 23,000 infections result in <ref>fatality.</ref> |
[[Image:Beta-lactam.jpg]] | [[Image:Beta-lactam.jpg]] | ||
Revision as of 20:00, 22 February 2015
Beta-lactamases are awesome
|
Background and beta-lactam antibiotics
| |||||||||||


