Sandbox Reserved 992
From Proteopedia
Line 5: | Line 5: | ||
<Structure load='1ke4' size='400' frame='true' color='white' align='right' caption='AmpC Class C Beta-lactamase' /> | <Structure load='1ke4' size='400' frame='true' color='white' align='right' caption='AmpC Class C Beta-lactamase' /> | ||
- | {| class="wikitable" | + | {| class="wikitable" border="1" cellpadding="5" cellspacing="0" align="center" |
|+ Class C β-lactamase | |+ Class C β-lactamase | ||
|- | |- |
Revision as of 01:31, 27 February 2015
This Sandbox is Reserved from 20/01/2015, through 30/04/2016 for use in the course "CHM 463" taught by Mary Karpen at the Grand Valley State University. This reservation includes Sandbox Reserved 987 through Sandbox Reserved 996. |
To get started:
More help: Help:Editing |
Class C β-lactamases are a subcategory of β-lactamase enzymes. These enzymes are produced by some bacteria and result in their resistance to a variety of β-lactam antibiotics. β-lactam antibiotics are classified based on their chemical structure which contains a four membered, amide containing ring known as the β-lactam ring. Class C β-lactamases specifically target cephalosporin antibiotics and deactivate their antimicrobial activity by hydrolyzing the β-lactam ring.
|
Identifiers | |
---|---|
EC number | |
CAS number | |
Databases | |
Contents |
Function and Mechanism
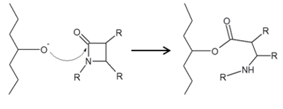
Clinically, β-lactam antibiotics, characterized by their central chemical structure, are utilized to combat bacterial infections by targeting penicillin-binding proteins (PBPs), also known as transpeptidases. PBPs are enzymes that are located in the cell membrane of bacteria and function in cross-linking to form the peptidoglycan layer. PBPs have a conserved deprotonated serine which executes nucleophilic attack on the carbonyl carbon. The PBP is then covalently attached to one unit of peptidoglycan. The amino group of an alanine on a second unit of peptidoglycan then performs a second nucleophilic attack on the carbonyl carbon, resulting in two covalently cross-linked peptidoglycan units and the regeneration of the catalytic PBP.[1]The β-lactam ring covalently attaches to PBPs, inhibiting them from executing their role in properly synthesizing the cell wall peptidoglycan layer, via nucleophilic attack of the carbonyl carbon. The β-lactam cannot be removed and thus permanently renders the PBP incapable of its catalytic function in cross-linking. Ultimately, this results in death of bacterial cells from osmotic instability or autolysis.[2]
One of the main causes of resistance to β-lactam drugs is caused by β-lactamases. Chemically, β-lactamases bind to β-lactams the same way β-lactams bind to PBPs. However, the β-lactamases are then able to deactivate the antimicrobial activity of the β-lactams by cleaving the β-lactam bound in the active site through a molecular process called deacylation, rendering it incapable of inhibiting the PBPs and ultimately, allowing cross-linking to occur for adequate cell wall formation.

Class C Mechanism
There are four main classes of β-lactamase enzymes, A, B, C, and D. While these main classes all disable the antimicrobial activity of β-lactams by breaking open the β-lactam ring at the amide bond, each class has individually conserved residues that allow the enzyme to maintain catalytic function. Classes A, C and D are most similar by functioning via catalytic serine, while class B functions via catalytic zinc.[3]
Class C β-lactamases share a very similar mechanism as the Class A β-lactams, acylation followed by hydrolytic deacylation.4 Class C differs from A in that the hydrolytic water, activated by tyrosine 150, approaches the enzyme from the opposite side. This activated water is what allows β-lactamases to deacylation and maintain their catalytic function, while PBPs cannot.[3] Class D differs from A and C in that it has an N-carboxylated active site lysine which hydrogen bonds with the active site serine.[4]
Class C β-lactamases, among many other enzyme types, also contain a structural component known as an oxyanion hole. This pocket of hydrophilic residues directly stabilizes the high-energy tetrahedral intermediate, lowering the activation energy and promoting a faster overall reaction.[5][6]
Clinical Significance
Since the discovery of penicillin in the late 1920s by Alexander Flemming[7] β-lactam antibiotics, characterized by their central chemical structure, the β-lactam ring, have played an important role in human health. Unfortunately, extensive use, and often misuse, of such drugs has led to an increased resistance in many species of bacterium resulting in major clinical treatment dilemmas. Each year in the United States alone, a minimum of 2 million people are infected with drug-resistant bacteria and of those 2 million, at least 23,000 infections result in fatality.[8] Fortunately, fiscal year funding for antibiotic resistance research from the U.S. government has nearly to $1.2 billion, providing a more optimistic outlook for this serious issue in clinical treatment.[9]
Class C Inhibition
With the mechanistic knowledge of β-lactamases, there are two apparent options for clinical treatment of β-lactam resistant bacteria. Scientists could either (a) design an entirely new class of antibiotic that are not reliant on the chemical structure of the β-lactam ring, or (b) use the current arsenal of antibiotics in combination with an inhibitor that will deactivate the β-lactamase. A β-lactamase inhibitor is a compound that could form a tight complex to the active site of the enzyme and causes the β-lactamase to be unable to bind and inactivate another antibiotic molecule. Links to examples Class C β-lactamases, both with and without clinical inhibitors bound, are provided.[10]
References
- ↑ "Peptidoglycan cell wall." The University of Warwick. n.d. Web. 25 Jan 15
- ↑ Beta Lactam Antibiotics, 2011. Antimicrobial Resistance Learning Site. Michigan State University Department of Pharmacology. 16 Sept, 2014.
- ↑ 3.0 3.1 Bush, Karen. The ABCD’s of β-lactamase nomenclature. J Infect chemother. (2013) 19, 549-559.
- ↑ Mobashery, Shahriar. Bacterial Resistance to β-Lactam Antibiotics: Compelling Opportunism, Compelling Opportunity. Chem. Rev. (2005) 105, 395-424.
- ↑ Albert Lehninger et al. (2008). Principles of Biochemistry (5th ed.). Macmillan. p. 207.
- ↑ Livermore, David. β-Lactamase mediated resistance and opportunities for its control. J. Antimicrob. Chemother. (1998) 41 (suppl 4): 25-41.
- ↑ American Chemical Society International Historic Chemical Landmarks. Discovery and Development of Penicillin. http://www.acs.org/content/acs/en/education/whatischemistry/landmarks/flemingpenicillin.html (accessed Feb 26, 2015).
- ↑ Antibiotic Resistant Threat Report in the United States, 2013. Centers for Disease Control and Prevention. 16 September, 2013.
- ↑ ASM Statement on the President’s Proposed 2016 Budget to Combat Antibiotic-resistant Bacteria. American Society for Microbiology. 28 Jan 2015. Web. 22 Feb 2015.
- ↑ Powers, Rachel, Hollister C. Swanson, Magdalena A. Taracila, Nicholas W. Florek, Chiara Romagnoli, Emilia Caselli, Fabio Prati, Robert A. Bonomo, and Bradley J. Wallar. Biochemical and Structural Analysis of Inhibitors Targeting the ADC-7 Cephalosporinase of Acinetobacter baumannii. Biochemistry, 2014, 53 (48), 7670-7679.