We apologize for Proteopedia being slow to respond. For the past two years, a new implementation of Proteopedia has been being built. Soon, it will replace this 18-year old system. All existing content will be moved to the new system at a date that will be announced here.
Sandbox Reserved 1071
From Proteopedia
(Difference between revisions)
| Line 1: | Line 1: | ||
{{Sandbox_Reserved_Butler_CH462_Sp2015_#}}<!-- PLEASE ADD YOUR CONTENT BELOW HERE --> | {{Sandbox_Reserved_Butler_CH462_Sp2015_#}}<!-- PLEASE ADD YOUR CONTENT BELOW HERE --> | ||
=DgcZ from ''E. coli''= | =DgcZ from ''E. coli''= | ||
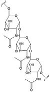
| - | Diguanylate cyclases synthesize cyclic dimeric-GMP (c-di-GMP) from two GTP molecules. [[Image:C-di-GMP.jpg |200 px|left|thumb|cyclic-dimeric-GMP]] C-di-GMP is a second messenger in the production of poly-β-1,6-N-acetylglucosamine (poly-GlcNAc) [[Image:Poly B-1,6 GlcNAc.jpg |100 px|left|thumb|poly-β-1,6-N-acetylglucosamine]] , a polysaccharide required for ''E. coli'' biofilm production. This biofilm allows ''E. coli'' to adhere to extracellular surfaces.<StructureSection load='4h54' size='300' frame='true' align='right' caption='E. coli Diguanylate cyclase'> | + | Diguanylate cyclases synthesize cyclic dimeric-GMP (c-di-GMP) from two GTP molecules. [[Image:C-di-GMP.jpg |200 px|left|thumb|cyclic-dimeric-GMP]] C-di-GMP is a second messenger in the production of poly-β-1,6-N-acetylglucosamine (poly-GlcNAc) [[Image:Poly B-1,6 GlcNAc.jpg |100 px|left|thumb|poly-β-1,6-N-acetylglucosamine]] , a polysaccharide required for ''E. coli'' biofilm production. This biofilm allows ''E. coli'' to adhere to extracellular surfaces. The DgcZ protein is made of two domains: the catalytic GGDEF domain responsible for sythnesizing c-di-GMP and the regulatory CZB domain that binds zinc. When zinc is bound, the CZB and GGDEF domains adopt conformations that inhibit DgcZ function.<StructureSection load='4h54' size='300' frame='true' align='right' caption='E. coli Diguanylate cyclase'> |
</StructureSection> | </StructureSection> | ||
Revision as of 18:50, 17 March 2017
| This Sandbox is Reserved from 02/09/2015, through 05/31/2016 for use in the course "CH462: Biochemistry 2" taught by Geoffrey C. Hoops at the Butler University. This reservation includes Sandbox Reserved 1051 through Sandbox Reserved 1080. |
To get started:
More help: Help:Editing |
Contents |
DgcZ from E. coli
Diguanylate cyclases synthesize cyclic dimeric-GMP (c-di-GMP) from two GTP molecules. C-di-GMP is a second messenger in the production of poly-β-1,6-N-acetylglucosamine (poly-GlcNAc) , a polysaccharide required for E. coli biofilm production. This biofilm allows E. coli to adhere to extracellular surfaces. The DgcZ protein is made of two domains: the catalytic GGDEF domain responsible for sythnesizing c-di-GMP and the regulatory CZB domain that binds zinc. When zinc is bound, the CZB and GGDEF domains adopt conformations that inhibit DgcZ function.
| |||||||||||
