This old version of Proteopedia is provided for student assignments while the new version is undergoing repairs. Content and edits done in this old version of Proteopedia after March 1, 2026 will eventually be lost when it is retired in about June of 2026.
Apply for new accounts at the new Proteopedia. Your logins will work in both the old and new versions.
User:Luke Edward Severinac/Sandbox 1
From Proteopedia
(Difference between revisions)
| Line 9: | Line 9: | ||
==Active Site== | ==Active Site== | ||
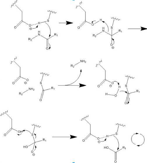
| - | Caspase 6 ia a part of the cystine aspartase family, with the catalytic residues (Cystine 163), (Histidine 121), and (glutamate 123).(show mechanism)[[Image: | + | Caspase 6 ia a part of the cystine aspartase family, with the catalytic residues (Cystine 163), (Histidine 121), and (glutamate 123).(show mechanism)[[Image:Mechanism caspase 6.PNG]] Together, these residues form a catalytic triad that cleaves proteins with the amino acid sequence TEVD. |
==properties== | ==properties== | ||
If <scene name='75/752344/Serine_257_highlighted/1'>Serine 257</scene> is <scene name='pdbligand=PO4:PHOSPHATE+ION'>Phospohrylated</scene> , the activity of this protein is inhibited. | If <scene name='75/752344/Serine_257_highlighted/1'>Serine 257</scene> is <scene name='pdbligand=PO4:PHOSPHATE+ION'>Phospohrylated</scene> , the activity of this protein is inhibited. | ||
Revision as of 23:39, 1 April 2017
==Your Heading Here (maybe something like 'Structure')== 2
| |||||||||||
References
- ↑ Hanson, R. M., Prilusky, J., Renjian, Z., Nakane, T. and Sussman, J. L. (2013), JSmol and the Next-Generation Web-Based Representation of 3D Molecular Structure as Applied to Proteopedia. Isr. J. Chem., 53:207-216. doi:http://dx.doi.org/10.1002/ijch.201300024
- ↑ Herraez A. Biomolecules in the computer: Jmol to the rescue. Biochem Mol Biol Educ. 2006 Jul;34(4):255-61. doi: 10.1002/bmb.2006.494034042644. PMID:21638687 doi:10.1002/bmb.2006.494034042644
https://www.ncbi.nlm.nih.gov/pmc/articles/PMC2966951/ (self cleavage article)
http://www.rcsb.org/pdb/explore/explore.do?structureId=2WDP (this is the non-self cleaved protien)
