Biological Function
poly-β-1,6-N-acetylglucosamine
Diguanylate cyclases are a group of class 2 transferase enzymes that catalyze the production of cyclic dimeric-guanosine monophosphate (c-di-GMP), an important second messenger for signal transduction. Signal transduction is the process of sending signals through cells to promote responses, most commonly through phosphorylation or dephosphorylation events. Escherechia coli, a gram-negative bacterium often found in the intestines of mammals, uses DgcZ in the synthesis of its biofilm. Enzyme DgcZ from E. coli acts a catalyst to synthesize cyclic di-GMP from two substrate guanosine triphosphate (GTP) molecules to aid in communication of signals throughout the bacteria. C-di-GMP is a second messenger in the production of poly-β-1,6-N-acetylglucosamine (poly-GlcNAc), a polysaccharide required for E. coli biofilm production. This biofilm allows E. coli to adhere to extracellular surfaces.
Structural Overview
Diguanylate cyclase DgcZ from “E. Coli” with Domains Labeled
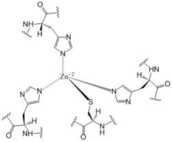
The DgcZ protein has C2 symmetry composed of two domains. The catalytic glycine-glycine-glutamate-glutamate-phenylalanine (GGEEF) domain responsible for synthesizing c-di-GMP and the regulatory chemoreceptor zinc binding (CZB) domain comprising two zinc binding sites. DgcZ binds zinc with sub-femtomolar affinity. When zinc is bound, the CZB and GGEEF domains adopt conformations that inhibit DgcZ function [1]. Enzyme DgcZ was co-crystallized with Zinc fixing the structure in its inactivate conformation. The CZB domain is common to many bacterial lineages, appearing most commonly in bacterial chemoreceptors involved in chemotaxis. The second most common group of CZB domains is that of DgcZ homologs. The domain has an important role in signal transduction of bacteria. Many bacterial proteins from differing strands of E. coli contain CZB and GGDEF domains[2]. The GGEEF domain of DgcZ is common to this family of enzymes containing the GGDEF domain. E. coli DgcZ is a protein made of two domains each of which is a symmetric homodimer. It exhibits symmetry down its central axis. The GGEEF domain is catalytic in that it contains the active sites used for cyclizing GTP into c-di-GMP. The CZB domain is used for ligand-mediated regulation of c-di-GMP production. Zinc binds as an allosteric inhibitor in coordination with four residues to shift the protein into an inactive conformation[1].
Catalytic GGEEF Domain
The domain of DgcZ is part of the GGDEF family of proteins that includes a conserved sequence, GG[DE][DE]F[3].The GGEEF domain is a homodimer consisting of a central five-stranded β-sheet surrounded by five α-helices. The GGEEF domain contains two catalytic that, when combined together in a productive conformation, form the entire active site. Each half-site binds one GTP molecule. DgcZ binds the guanine base of GTP through hydrogen bonds to . The ribose of each guanosine triphosphate, and subsequent product c-di-GMP riboses, are held only loosely by the enzyme, while the phosphate groups are not bound at all[1].
so that the alpha phosphate is available for attack by the 3 prime hydroxyl group on another GTP. A (Mg2+) stabilizes the negative charges on the phosphate groups. When in the productive conformation, each GTP is held in close proximity with the α-phosphate groups overlapping C3 of the ribose ring. This conformation allows the α-phospate of one GTP to react with the alcohol group attached to C3 of the ribose on the second GTP, resulting in a cyclization of the two molecules into c-di-GMP.
Mechanism of Action
Diguanylate cyclases only function efficiently as dimers, to bind both GGDEF domains holding the substrates. The presence of Zinc disrupts the ability of the two domains to overlap.
1. The enzyme coordinates the substrate GTP in a conformation to allow deprotonation of the C3 alcohol groups of the ribose. The negatively charged Oxygens on the phosphate groups of GTP are stabilized by Mg2+ ions.
2. The deprotonated oxygen then acts as a nucleophile to attack the α-phosphate of GTP. This initiates an addition-elimination reaction.
3. The β and γ phosphates of GTP are kicked off as leaving groups.
4. The result of this reaction is the C3 alcohol group of each ribose covalently bonded to an α-phosphate forming c-di-GMP.
CZB Domain
The , residues 19-90, is responsible for regulating the function of DgcZ. The domain contains the allosteric binding site of the enzyme with cooperative binding. Four residues bind zinc with a high affinity even at 10-16M concentrations. Due to the tightness of Zinc binding, the enzyme has not yet been crystallized in the active conformation without the presence of Zinc metal inhibitor. When zinc is bound, DgcZ activity is limited[1].
Zn
+2 Coordination to amino acid residues on three of the four 𝝰 helices of DgcZ
Electrostatic potential map of the CZB domain of Diguanylate Cyclase. Regions of relatively negative charge are in red and regions of relatively positive charge are in blue. Electrically neutral regions are in white
Zinc Binding Site
Most cells possess efficient Zinc uptake systems, as Zinc is a reactive Lewis Acid. Zinc binds incredibly tightly to this enzyme at subfemtomolar concentrations. The Zinc co-purified with the protein.Zinc allosterically inhibits the activity of enzyme DgcZ through two allosteric binding sites located on the CZB domain. The inhibition prevents regulation of GGDEF domain function, the location of the active site. The CZB domain is folded into four anti-parallel α-helices as a 2-fold symmetric homodimer, with the N-terminus on the helix 𝝰4. The allosteric binding site includes a motif that uses amino acids H22 of 𝝰1, C52 of 𝝰2, and H79 and H83 of 𝝰3, spanning three of the four alpha helices of the CZB domain and coordinating the Zinc residue in a tetrahedral fashion. For clarification, the entirety of 𝝰helix 2 on one monomer of CZB is not successfully crystallized after the Cys52 reside and is not the N-terminal residue.
Zahringer et al. mutated Cys52 to Ala through site-directed mutagenesis, resulting in a lack of coordination on α2. The cysteine residue is not essential for Zinc binding, as Zinc still coordinates to the three His residues with the Cys52Ala mutation, but α2 is free to move and expose the Zinc binding pocket. This exposure was found to lower the protein's affinity for zinc, as the mutation of cysteine to alanine increased the activity of the DgcZ. Using EDTA, Zinc can be removed from the CZB domain. The zinc has higher affinity for EDTA than CZB when EDTA concentration is higher than the concentration of DgcZ. When not coordinated to zinc, the CZB domain adopts a conformation that straightens the , shifting on the α-helices into the center and the GGEEF domain into its productive conformation, increasing activity of DgcZ. Activity increases without Zinc due to activation of poly-GlcNAc production and biofilm formation, and maximal cyclic di-GMP production.
Other Ligands
c-di-GMP and GTP bind although the function of this binding is unknown. Very weak product inhibition was observed when c-di-GMP bound allosterically but the inhibition was so weak, it is possible the c-di-GMP actually interacts with another as of yet unknown molecule at that site.
References
1. Zahringer, Franziska, Egidio Lancanna, Urs Jenal, Tilman Schirmer, and Alex Boehm. "Structure of E. Coli Zinc-Sensory Diguanylate Cyclase DgcZ." Cell Press: Structure 21 (2013): 1149-157.
2. Jenny Draper, K. Karplus, K. Ottemann. Identification of a Chemoreceptor Zinc-Binding Domain Common to Cytoplasmic Bacterial Chemoreceptors. Journal of Bacteriology. Vol. 193, No. 17. 4338-4345. (2011).
3. Carmen Chan, R. Paul, D. Samoray, N. Amiot, B. Giese, U. Jenal, T. Schirmer. Structural basis of activity and allosteric control of diguanylate cyclases. PNAS. Vol 101. No. 49 17084-17089. (2004).