User:Hannah Wright/Sandbox 1

From Proteopedia

(Difference between revisions)
Jump to: navigation, search
Line 25: Line 25:
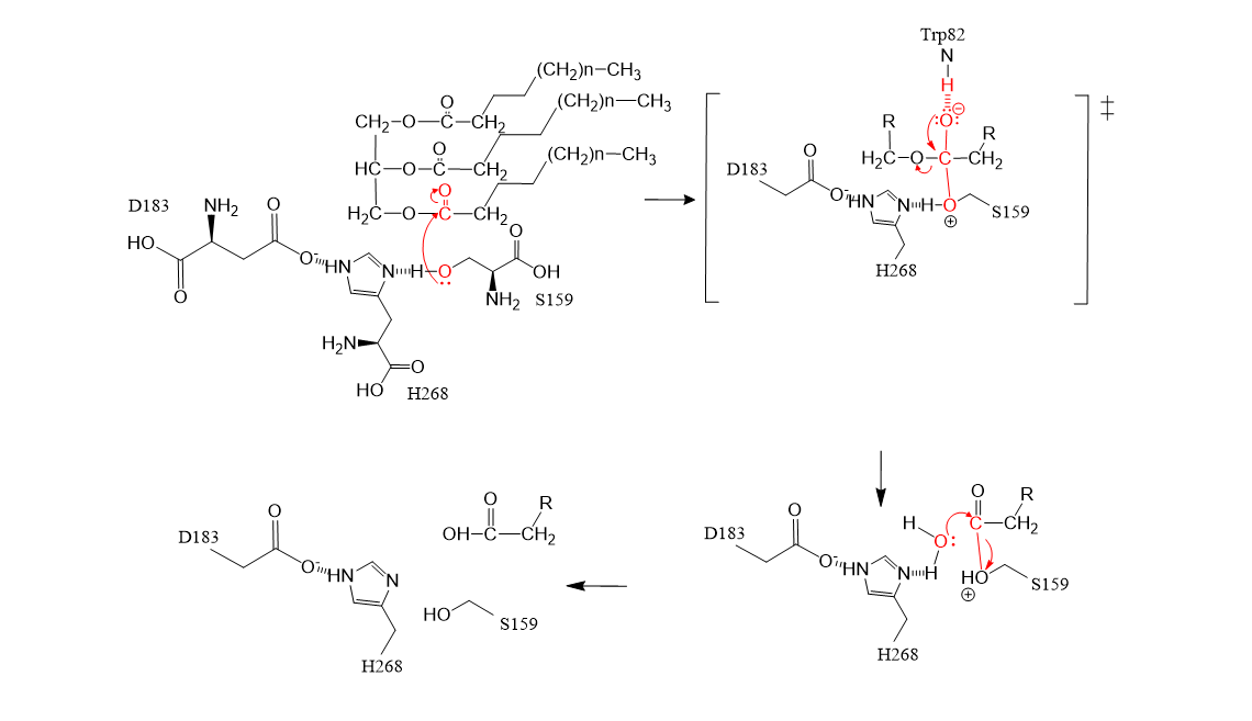
======Mechanism======
======Mechanism======
 +
[[Image:MechAllison.png]]
====C-terminus of LPL====
====C-terminus of LPL====
=====GPIHBP1=====
=====GPIHBP1=====

Revision as of 18:31, 6 April 2021

Lipoprotein Lipase (LPL) complexed with GPIHBP1

Lipoprotein Lipase - 6E7K

Drag the structure with the mouse to rotate

References

  1. Birrane G, Beigneux AP, Dwyer B, Strack-Logue B, Kristensen KK, Francone OL, Fong LG, Mertens HDT, Pan CQ, Ploug M, Young SG, Meiyappan M. Structure of the lipoprotein lipase-GPIHBP1 complex that mediates plasma triglyceride hydrolysis. Proc Natl Acad Sci U S A. 2018 Dec 17. pii: 1817984116. doi:, 10.1073/pnas.1817984116. PMID:30559189 doi:http://dx.doi.org/10.1073/pnas.1817984116


Student/Contributors

  • Ashrey Burely
  • Allison Welz
  • Hannah Wright

Proteopedia Page Contributors and Editors (what is this?)

Hannah Wright

Personal tools