User:Hannah Wright/Sandbox 1

From Proteopedia

(Difference between revisions)
Jump to: navigation, search
Line 17: Line 17:
== Structure ==
== Structure ==
===Overall Structure===
===Overall Structure===
-
[[Image:firstLPL.jpg]]
 
===LPL===
===LPL===
====N-terminus of LPL====
====N-terminus of LPL====
-
=====Calcium Ion Coordination=====
+
====C-terminus of LPL====
-
=====Active Site=====
+
=====GPIHBP1=====
 +
====Calcium Ion Coordination====
 +
====Active Site====
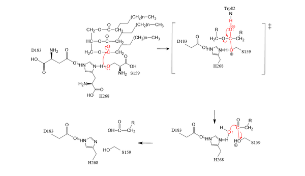
The <scene name='87/878236/Active_site_possibly_done/2'>active site</scene> of LPL is composed of multiple pieces. The <scene name='87/878236/Active_site_hphob_res_w_ligand/1'>hydrophobic tunnel</scene>, including residues: W82, V84, W113, Y121, Y158, L160, A185, P187, F212, I221, F239, V260, V264 and K 265, outline the general structure of the active site and provides considerable stability of the active site. The <scene name='87/878236/Active_site_lid_region_done/1'>lid region</scene> is also an important component of the active site, spanding from residues 243-266, that is vital for the recognition of substrates. The <scene name='87/877636/Activesite_oxyanionhole/2'>oxyanion hole</scene>, which is a small portion of the hydrophobic tunnel consisting of residues L160, and W82, aids in the overall stability of the active site and the transition state of substrates catalyzed by the <scene name='87/877603/Catalytic_triad/1'>catalytic triad</scene> (residues H268, S159, and D183).
The <scene name='87/878236/Active_site_possibly_done/2'>active site</scene> of LPL is composed of multiple pieces. The <scene name='87/878236/Active_site_hphob_res_w_ligand/1'>hydrophobic tunnel</scene>, including residues: W82, V84, W113, Y121, Y158, L160, A185, P187, F212, I221, F239, V260, V264 and K 265, outline the general structure of the active site and provides considerable stability of the active site. The <scene name='87/878236/Active_site_lid_region_done/1'>lid region</scene> is also an important component of the active site, spanding from residues 243-266, that is vital for the recognition of substrates. The <scene name='87/877636/Activesite_oxyanionhole/2'>oxyanion hole</scene>, which is a small portion of the hydrophobic tunnel consisting of residues L160, and W82, aids in the overall stability of the active site and the transition state of substrates catalyzed by the <scene name='87/877603/Catalytic_triad/1'>catalytic triad</scene> (residues H268, S159, and D183).
-
======Mechanism======
+
====Mechanism====
[[Image:MechAllison.png|600 px|]]
[[Image:MechAllison.png|600 px|]]
-
====C-terminus of LPL====
+
 
-
=====GPIHBP1=====
+
== Disease ==
== Disease ==

Revision as of 19:14, 6 April 2021

Lipoprotein Lipase (LPL) complexed with GPIHBP1

Lipoprotein Lipase - 6E7K

Drag the structure with the mouse to rotate

References

  1. Birrane G, Beigneux AP, Dwyer B, Strack-Logue B, Kristensen KK, Francone OL, Fong LG, Mertens HDT, Pan CQ, Ploug M, Young SG, Meiyappan M. Structure of the lipoprotein lipase-GPIHBP1 complex that mediates plasma triglyceride hydrolysis. Proc Natl Acad Sci U S A. 2018 Dec 17. pii: 1817984116. doi:, 10.1073/pnas.1817984116. PMID:30559189 doi:http://dx.doi.org/10.1073/pnas.1817984116


Student/Contributors

  • Ashrey Burely
  • Allison Welz
  • Hannah Wright

Proteopedia Page Contributors and Editors (what is this?)

Hannah Wright

Personal tools