User:Giselle Flores/Sandbox 1

From Proteopedia

(Difference between revisions)
Jump to: navigation, search
Line 17: Line 17:
==Mechanism==
==Mechanism==
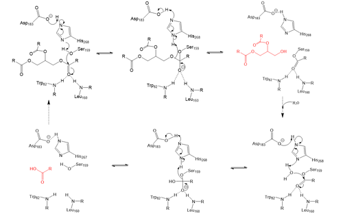
Lipoprotein Lipase functions to catalyze the hydrolysis of one [https://en.wikipedia.org/wiki/Ester ester bond] of triglycerides. It does this by utilizing a simple [https://en.wikipedia.org/wiki/Serine_hydrolase serine hydrolase] mechanism, in which it uses a <scene name='87/877516/Catalytic_triad_master/1'>Catalytic Triad</scene> composed of Asp183, His268, and Ser159 to catalyze the hydrolysis. His268 serves as a base catalyst by deprotonation of Ser159, which can then serve as the [https://en.wikipedia.org/wiki/Nucleophile nucleophile]. The transition state of the catalysis is stabilized by the <scene name='87/877516/Oxyanion_hole_master/1'>Oxyanion Hole</scene> composed of Trp82 and Leu160. The hydrolysis results in the formation of one free fatty acid and a glycerol with two fatty acid tails.
Lipoprotein Lipase functions to catalyze the hydrolysis of one [https://en.wikipedia.org/wiki/Ester ester bond] of triglycerides. It does this by utilizing a simple [https://en.wikipedia.org/wiki/Serine_hydrolase serine hydrolase] mechanism, in which it uses a <scene name='87/877516/Catalytic_triad_master/1'>Catalytic Triad</scene> composed of Asp183, His268, and Ser159 to catalyze the hydrolysis. His268 serves as a base catalyst by deprotonation of Ser159, which can then serve as the [https://en.wikipedia.org/wiki/Nucleophile nucleophile]. The transition state of the catalysis is stabilized by the <scene name='87/877516/Oxyanion_hole_master/1'>Oxyanion Hole</scene> composed of Trp82 and Leu160. The hydrolysis results in the formation of one free fatty acid and a glycerol with two fatty acid tails.
-
[[Image:LPL_final_Mechanism.png|300 px|left|thumb|Serine hydrolase mechanism utilized by LPL to catalyze the breakdown of one ester bond of a triglyceride. Compounds colored red are the products of the hydrolysis.]]
+
[[Image:LPL_final_Mechanism.png|500 px|left|thumb|Serine hydrolase mechanism utilized by LPL to catalyze the breakdown of one ester bond of a triglyceride. Compounds colored red are the products of the hydrolysis.]]
 +
 
 +
 
 +
 
 +
 
 +
 
 +
 
 +
 
 +
 
 +
 
 +
 
 +
 
 +
 

Revision as of 20:46, 19 April 2021

Lipoprotein Lipase LPL

Lipoprotein Lipase PDB

Drag the structure with the mouse to rotate

Proteopedia Page Contributors and Editors (what is this?)

Giselle Flores

Personal tools