Esterification
From Proteopedia
(Difference between revisions)
| Line 1: | Line 1: | ||
| - | ==Esterification== | ||
<StructureSection load='' size='350' side='right' caption='Esterification of fatty acid with ethanol' scene='88/887592/Esterification_with_fifth_step/1'> | <StructureSection load='' size='350' side='right' caption='Esterification of fatty acid with ethanol' scene='88/887592/Esterification_with_fifth_step/1'> | ||
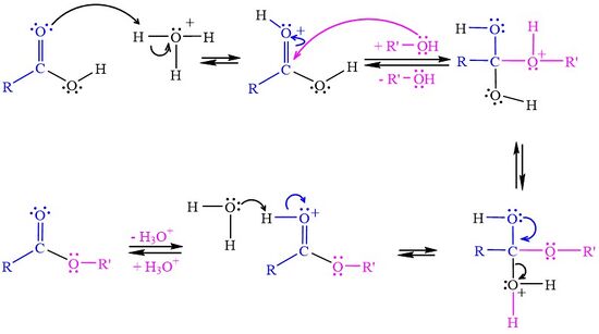
Esterification is a chemical reaction of an [http://en.wikipedia.org/wiki/Acid acid] with an [http://en.wikipedia.org/wiki/Alcohol alcohol] (R'OH) to form an ester (RCOOR'). | Esterification is a chemical reaction of an [http://en.wikipedia.org/wiki/Acid acid] with an [http://en.wikipedia.org/wiki/Alcohol alcohol] (R'OH) to form an ester (RCOOR'). | ||
Revision as of 16:22, 18 July 2021
| |||||||||||
See also
SN1 reaction: Substitution of Cl− and tert-Butanol
SN2 reaction: substitution of Cl− and methanol
