This old version of Proteopedia is provided for student assignments while the new version is undergoing repairs. Content and edits done in this old version of Proteopedia after March 1, 2026 will eventually be lost when it is retired in about June of 2026.
Apply for new accounts at the new Proteopedia. Your logins will work in both the old and new versions.
Image:Síntese de lignanas.png
From Proteopedia
(Difference between revisions)

No higher resolution available.
Síntese_de_lignanas.png (459 × 510 pixel, file size: 33 KB, MIME type: image/png)
(uploaded a new version of "Image:Síntese de lignanas.png") |
(uploaded a new version of "Image:Síntese de lignanas.png") |
Current revision
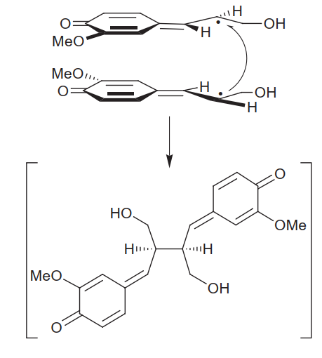
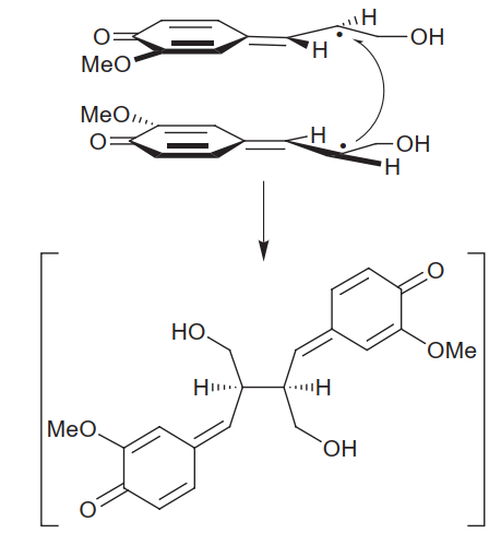
Figura que demonstra a síntese de uma lignana. No caso, temos dois álcoois coniferilicos formando pinoresinol.
File history
Click on a date/time to view the file as it appeared at that time.
| Date/Time | User | Dimensions | File size | Comment | |
|---|---|---|---|---|---|
| (current) | 15:22, 2 June 2024 | Gabriel Fontanella Pileggi (Talk | contribs) | 459×510 | 33 KB | |
| 15:11, 2 June 2024 | Gabriel Fontanella Pileggi (Talk | contribs) | 459×510 | 33 KB | ||
| 21:40, 1 June 2024 | Gabriel Fontanella Pileggi (Talk | contribs) | 459×510 | 33 KB | Figura que demonstra a síntese de uma lignana. No caso, temos dois álcoois coniferilicos formando pinoresinol. |
- Edit this file using an external application
See the setup instructions for more information.
Links
There are no pages that link to this file.
