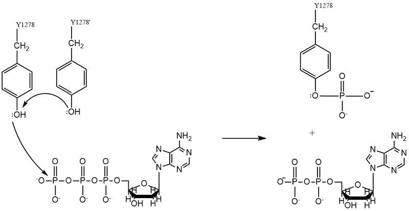
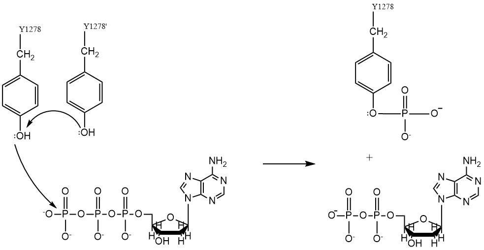
Image:ALK Tyrosine Phosphorylation.png
From Proteopedia

Size of this preview: 800 × 413 pixels
Full resolution (983 × 508 pixel, file size: 40 KB, MIME type: image/png)
File history
Click on a date/time to view the file as it appeared at that time.
Date/Time | User | Dimensions | File size | Comment | |
---|---|---|---|---|---|
(current) | 15:20, 18 April 2022 | Kaylin M. Todor (Talk | contribs) | 983×508 | 40 KB |
- Edit this file using an external application
See the setup instructions for more information.
Links
The following pages link to this file: