This old version of Proteopedia is provided for student assignments while the new version is undergoing repairs. Content and edits done in this old version of Proteopedia after March 1, 2026 will eventually be lost when it is retired in about June of 2026.
Apply for new accounts at the new Proteopedia. Your logins will work in both the old and new versions.
Sandbox Reserved 688
From Proteopedia
| This Sandbox is Reserved from 30/01/2013, through 30/12/2013 for use in the course "Biochemistry II" taught by Hannah Tims at the Messiah College. This reservation includes Sandbox Reserved 686 through Sandbox Reserved 700. |
To get started:
More help: Help:Editing |
Nicotine's Interaction with Nicotinic Recptors
|
is a small molecule that is found in tobacco leaves. Nicotine can have many different effects on the body depending on frequency, length of time in the blood system, and prolonged usage. Some of the desirable effects nicotine can bring about are muscle relaxation and a feeling of well-being. Nicotine must binds to one of the many chains of specific receptors known as Nicotinic AChRs. These receptors are found in junction points between cells that allow the release of ions in order to bring about a release of neurotransmitters and muscle relaxation.
The nicotinic receptors contain two portions, a to keep it anchored to the membrane and a to bind ligands. Nicotine must bind to one of the of the extracellular portion of the receptor in order to bring about a conformational change and elicit a response inside the cell. Nicotine binds with specific in order to elicit a response to release the ions. The body normally binds to nicotinic AChRs in the absence of nicotine.
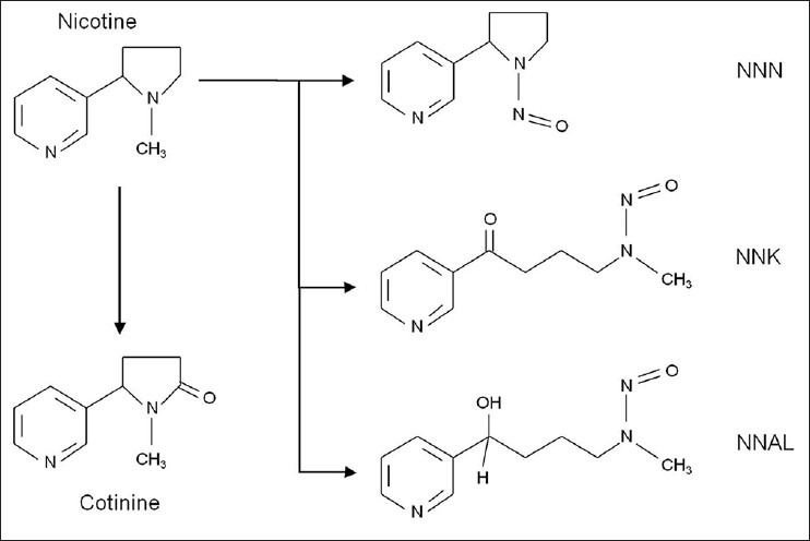
Nicotine Metabolites
However, when nicotine is present, it is metabolized by enzymes, one of which being , which has a similiar to AChRs, which is found in the lungs and throughout the body. This breaks nicotine into four metabolites. Two of which are extremely dangerous for consumers as they act as tumor promoters or tumor enhancers. When nicotine is broken down in the body, it becomes four main metabolites that interact with various bodily systems. These metabolites include Cotinine, NNN, NNK, and NNAL. The two most important molecules because of their abundance and harmful effects are cotinine and . Cotinine is the most abundant nicotine metabolite, accounting for 75% of the nicotine metabolites. Cotinine is a tumor promoter that can suppress chemo and radio therapies in cancer patients. This increases tumor activity by stimulating proliferation, angiogenesis, migration, invasion, epithelial to mesenchymal transition, and stimulation of autocrine loops associated with tumor growth. NNK is not only a tumor promoter but also a tumor initiator. It causes tumors by the same way Cotinine enhances them.
Nicotine Effects on Pathways in the Body
When nicotine binds to AChRs receptors it has downstream effects by activation of Src, Ras-Raf--MEK-ERK pathways within the body. With constant activation of pathways that should only be active when needed by normal bodily functions can lead to many diseases and effects on cells such as: proliferation, angiogenesis, migration, invasion, epithelial to mesenchymal transition, and stimulation of autocrine loops which has been associated with tumor growth.

