This old version of Proteopedia is provided for student assignments while the new version is undergoing repairs. Content and edits done in this old version of Proteopedia after March 1, 2026 will eventually be lost when it is retired in about June of 2026.
Apply for new accounts at the new Proteopedia. Your logins will work in both the old and new versions.
Sandbox Reserved 991
From Proteopedia
| This Sandbox is Reserved from 20/01/2015, through 30/04/2016 for use in the course "CHM 463" taught by Mary Karpen at the Grand Valley State University. This reservation includes Sandbox Reserved 987 through Sandbox Reserved 996. |
To get started:
More help: Help:Editing |
|
Contents |
Lanosterol Synthase
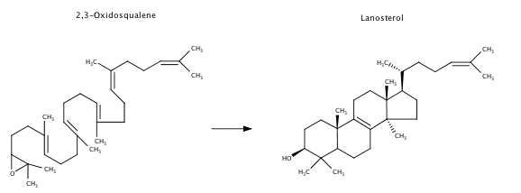
Lanosterol synthase is an enzyme found in the cholesterol biosynthesis pathway. This oxidosqualene cyclase catalyzes the cyclization of the linear hydrocarbon 2,3-oxidosqualene to the four ringed . Lanosterol is a crucial precursor to cholesterol.
The gene coding for lanosterol synthase is found on chromosome 21: q22.3.
Since lanosterol synthase is involved in cholesterol biosynthesis, there is clinical relevance in using lanosterol synthase inhibitors to develop cholesterol lowering drugs. These drugs could then potentially be used in conjunction with statins.
Function
The enzyme lanosterol synthase catalyzes the most complex reaction of cholesterol biosynthesis, the formation of lanosterol from 2,3-oxidosqualene.
Cholesterol Biosynthesis
Cholesterol is an important molecule that has many biological functions:
- Precursor to steroid hormones
- Formation of bile in the liver
- Incorporation into phospholipid bilayers
Cholesterol biosynthesis starts with Acetyl-CoA, which forms beta-hydroxy-beta-methylglutaryl-CoA (HMG-CoA), an intermediate also found in ketone body biosynthesis. HMG-CoA reacts to form five-carbon phosphate derivatives of isoprene units. These activated isoprene units then condense to generate a long, 30 carbon molecule called squalene. Squalene undergoes an epoxidation reaction to form 2,3-oxidosqualene, the substrate for lanosterol synthase.
Lanosterol synthase folds 2,3-oxidosqualene, a long, linear carbon chain, and catalyzes a chain reaction of 1,2 hydride and methyl shifts to create the cyclic lanosterol, a molecule with four fused rings. Lanosterol continues in a 19-step pathway to become cholesterol.
Structure
Lanosterol synthase is a peripheral membrane protein that consists of 732 amino acids and operates as a single subunit. It has three sets of and 25 ; 50% of the residues are found in helices and 5% are found in beta sheets. The residue sequence is 36-40% identical to evolutionary ancestors in plants and yeast. [1] The hydrophobic and membrane portion of the protein is bound to in the structure shown above. BOG detergent is used experimentally to isolate the protein from the membrane. [2]
Mechanism
Lanosterol cyclase catalyzes the conversion of 2,3-oxidosqualene to lanosterol. Mutagenic analysis has determined that the residues most involved in this reaction are .[3] The first step of this reaction requires the protonation of the epoxide by the the aspartic acid residue . The protonation of the oxygen causes the epoxide ring to open, forming a carbocation at position C2 (Carbons are labeled in order of the longest chain in 2,3-Oxidosqualene). Upon formation of the carbocation, the pi electrons at adjacent double bonds transfer the positive charge across the molecule by forming four carbon-carbon single bonds between C2-C7, C6-C11, C10-15 and C14-C18. The protosteryl carbocation intermediate causes a series of proton shifts (C18 to C19, C14 to C18) and methyl transfers (C15 to C14, C10 to 15) that relocates the carbocation to C10. The last step in this reaction requires a E2 reaction by that forms a double bond between C9 and C10. Overall, this reaction creates four carbon-carbon bonds and five chiral centers, forming a fused ring system of three 6-membered rings and one 5-membered ring.
Disease
Lanosterol Synthase Inhibitors as Cholesterol Lowering Drugs: There has been increased awareness surrounding the use of lanosterol synthase inhibitors as drugs to reduce levels of LDL (low-density lipoproteins that carry cholesterol) to aid in the treatment of atherosclerosis. The commonly prescribed statin drugs that are currently used to lower LDL (the "bad" carrier of blood cholesterol) while less effectively increasing HDL (high-density lipoproteins, the "good" carrier of blood cholesterol) function by inhibiting the activity of HMG-CoA reductase. [4] Since HMG-CoA reductase catalyzes the creation of HMG-CoA, a precursor used in other pathways in addition to cholesterol biosynthesis, statins could adversely affect the levels of intermediates essential for other biosynthesis pathways. Lanosterol synthase is used mainly for cholesterol biosynthesis, and may thus be considered a useful drug target with potentially fewer side effects than statins. [5]
Research in which lanosterol synthase is inhibited in varying degrees has demonstrated a direct decline in both lanosterol production and HMG-CoA reductase activity. [6]
References
- ↑ Baker, C. H., Matsuda, S. P., Liu, D. R., & Corey, E. J. (1995, August 4). Molecular cloning of the human gene encoding lanosterol synthase from a liver cDNA library. Biochemical and Biophysical Research Communications, 213(1), 154-160. Retrieved February 24, 2015, from PubMed (7639730)
- ↑ Thoma, R., Schulz-Gasch, T., D'Arcy, B., Benz, J., Aebi, J., Dehmlow, H., & Hennig, M. (2004, November 4). Insight into steroid scaffold formation from the structure of human oxidosqualene cyclase. Nature, 432(7013). doi:10.1038/nature02993
- ↑ Corey EJ, Cheng CH, Baker CH, Matsuda SPT, Li D, Song X (February 1997). "Studies on the Substrate Binding Segments and Catalytic Action of Lanosterol Synthase. Affinity Labeling with Carbocations Derived from Mechanism-Based Analogs of 2, 3-Oxidosqualene and Site-Directed Mutagenesis Probes". J. Am. Chem. Soc. 119 (6): 1289–96.
- ↑ Panini SR, Gupta A, Sexton RC, Parish EJ, Rudney H (October 1987). "Regulation of sterol biosynthesis and of 3-hydroxy-3-methylglutaryl-coenzyme A reductase activity in cultured cells by progesterone". J. Biol. Chem. 262 (30): 14435–40. PMID 3667583
- ↑ Telford DE, Lipson SM, Barrett PH, et al. (December 2005). "A novel inhibitor of oxidosqualene:lanosterol cyclase inhibits very low-density lipoprotein apolipoprotein B100 (apoB100) production and enhances low-density lipoprotein apoB100 catalbolism through marked reduction in hepatic cholesterol content". Arterioscler Thromb Vasc Biol 25 (12): 2608–14. doi:10.1161/01.ATV.0000189158.28455.94. PMID 16210564
- ↑ Panini SR, Gupta A, Sexton RC, Parish EJ, Rudney H (October 1987). "Regulation of sterol biosynthesis and of 3-hydroxy-3-methylglutaryl-coenzyme A reductase activity in cultured cells by progesterone". J. Biol. Chem. 262 (30): 14435–40. PMID 3667583


