Sandbox Wabash13
From Proteopedia
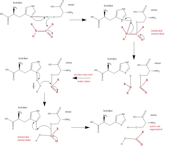
Trypsin Mechanism & Structure - Chase Francoeur, Elias Arellano FunctionTrypsin is a serine protease released by the pancreas and secreted into the duodenum that acts as a digestive enzyme that catalyzes the hydrolysis of peptide bonds, specifically for positively charged residues (K, R, H). The catalytic mechanism in which the enzyme acts as a protease is as follows: 1. Nucleophillic and base catalysis by enzyme to substrate to form tetrahedral intermediate at carbonyl group of scissile peptide. The nucleophilic attack is carried out by Ser 195, by attacking the scissile peptide's carbonyl group to form the tetrahedral intermediate. 2. Acid catalysis breaks the tetrahedral intermediate through cleaving of the scissile peptide bond to form an acyl-enzyme intermediate. His 57 donates a proton by general acid catalysis. This is aided by Asp 102 polarizing effect on His 57. This causes the tetrahedral intermediate to decompose to the acyl-enzyme intermediate. 3. The amine product is replaced by H2O and subsequently released from the enzyme/substrate complex. R'NH2 is the new N-nterminal portion of the cleaved polypeptide chain. (See Diagram Below) 4. Base catalysis by enzyme. The Acyl Intermediate,highly susceptible to hydrolytic cleavage, adds water to yield a secondary tetrahedral intermediate. H2O forms a covalent bond with the carbonyl group of the N-terminal peptide, leading to another tetrahedral intermediate
5. Acid catalysis by the breaking of the C-O covalent bond of the tetrahedral intermediate, releasing the peptide from the enzyme substrate complex. Once the peptide is released, the enzyme once again becomes active. By yielding a carboxylate product ( C-Terminal portion of the cleaved polypeptide chain) that regenerates the active enzyme [1].
Below is a Diagram of the Catalytic Mechanism:The steps of the mechanism involve two tetrahedral intermediates and an Acyl-enzyme intermediate
Structural highlights of Trypsin
Below is a diagram of the Oxianion Pocket (interaction of Ser 195 and Gly 193, shown in the link above residues are highlighted green)
Ser 195 nucleophilically attacks the scissile's peptide's carbonyl group (see link below)
The N3 of His 57 donates a proton (General Acid Catalysis) which is facilitated by the polarizing effect of Asp 102 (see link below)
Asp 102 aids the process by its polarizing effect as an unsolved carboxylate ion which is hydrogen bonded to His 57 (see link below)
| |||||||||||
References
- ↑ Radisky ES, Lee JM, Lu CJ, Koshland DE Jr. Insights into the serine protease mechanism from atomic resolution structures of trypsin reaction intermediates. Proc Natl Acad Sci U S A. 2006 May 2;103(18):6835-40. Epub 2006 Apr 24. PMID:16636277


