From Proteopedia
proteopedia linkproteopedia link
PAH פנילאלנין הידרוקסילאז
החלבון הוא
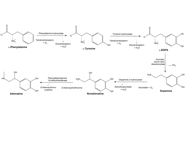
אנזים המיוצר בכבד ותפקידו לזרז את התגובה שבה החומצה האמינית פנילאלנין הופכת לחומצה האמינית טירוזין. החומצה האמינית פנילאלנין הינה אחת מן החומצות האמיניות החיונית בגוף האדם (חומצה אמינית חיונית היא חומצה אמינית שגוף האדם אינו מייצר בעצמו ועליו לקבל אותה ממקורות מזון חיצוניים). תפקיד החלבון הוא לסלק מן הגוף עודפים של פנילאלנין ע"י הפיכתה, כאמור, לטירוזין. אם חל שיבוש בפעילות החלבון, או שקיים פגם בתהליך ייצורו, יצטברו עודפים של החומצה האמינית פנילאלנין בגוף. תופעה זו עלולה לפגוע במערכת העצבים ולגרום לפיגור שכלי. המחלה
פנילקטונוריה היא מחלה תורשתית קשה המאופיינת בתופעות אלו, ונגרמת בשל חסר באנזים .
מבנה החלבון
ניתן למצוא את האנזים פנילאלנין הידרוקסילאז בשלושה מבנים שונים - , וכטטרמר (מודל של טטרמר מופיע בתמונה הימנית למטה). בטרם נענה על השאלה איזה מן המבנים הוא המבנה הפעיל, ואלו גורמים עלולים לשבש ולפגום בפעילותו, נתאר את המבנה של שרשרת מונומרית אחת.
מודל של טטרמר של החלבון PAH
| |
מבנה המונומר של פנילאלנין הידרוקסילאז
יחידת המבנה הבסיסית של החלבון הינה המרכב מכ-450 חומצות אמיניות.
לצפיה במבנים השניוניים של החלבון - שים לב לסלילי אלפא הצבועים בסגול ולמשטחי ביתא הצבועים בצהוב.
המונומר נושא 3 דומיינים:
1. דומיין רגולטורי (מהקצה ה -N טרמינלי ועד לחומצה אמינית 142) - מרכב מסלילי אלפא ומשטחי ביתא היוצרים מוטיב סנדוויץ. רצף החומצות האמיניות 19-33 יוצר מבנה המפקח על הגישה לאתר הפעיל (9). ניתן להבחין באיזור זה בתמונה שלהלן (צבוע בצבע צהוב).
2. דומיין קטליטי - (חומצות אמיניות 143 - 410) - מרכב מ-13 סלילי אלפא ומ- 8 משטחי ביתא היוצרים מבנה דמוי סל המהווה את האתר הפעיל (צבוע בתמונה שלהלן בצבע ירוק). האתר הפעיל מרכב מ-34 חומצות אמיניות, רובן הידרופוביות, מלבד 3 שיירים טעונים של החומצה הגלוטמית , 2 שיירים טעונים של היסטידין וחומצה אמינית אחת מסוג טירוזין (9). בנוסף מצוי באתר הפעיל
הקופקטור טטרהידרוביופטרין BH4. ( למבנה תלת מימדי של המונומר עם הדגשת ה- BH4). בתחתית האתר הפעיל ממוקם יון ברזל הקשור להיסטידין His285, היסטידין His290 וחומצה גלוטמית Glu330 (
לצפיה באתר הפעיל בהגדלה - יון הברזל מסומן בורוד ) - בהמשך הטקסט למטה ניתן לצפות בתמונה המתארת את הקישור של יון הברזל לשלושת החומצות האמיניות הללו.
3. דומיין האוליגומריזציה (מחומצה אמינית 411 ועד לחומצה אמינית 452 הנמצאת בקצה ה-C טרמינלי של השרשרת) - מרכב משני משטחי ביתא אנטי מקבילים ומסליל אלפא אחד (9). איזור האוליגומריזציה בחלבון צבוע בכחול בתמונה שלהלן:
גרף רמצ'נדראן של מונומר
מניתוח נוכל להשלים מידע על המבנים השניוניים המרכיבים מונומר של פנילאלנין הידרוקסילאז.
באיזור השמאלי העליון, מסומנים כנקודות צהובות על הגרף, מופיעים משטחי ביתא. ניתן לזהות את משטחי הביתא המסומנים בצהוב גם במודל התלת מימדי של .
באיזור השמאלי התחתון, מסומנים כנקודות ורודות על הגרף, מופיעים סלילי אלפא הניתנים לזיהוי בצבע דומה גם במודל התלת מימדי של .
גרף רמצ'נדראן של דימר
של נוכל לראות שהמבנים השניוניים המרכיבים אותו זהים לאלו של המונומר, אך כמותם כפולה - מכאן נסיק שהדימר מרכב משתי יחידות מונומריות זהות.
המבנה הרביעוני של פנילאלנין הידרוקסילאז
מבנה רביעוני של חלבון נוצר כאשר שרשרות חלבון בעלות מבנה שלישוני מתאחדות ויוצרות אוליגומר. פנילאלנין הידרוקסילאז מאופיין בשני מבנים רביעונים פעילים הנמצאים בשוו"מ - מבנה של ומבנה של טטרמר (מודל של טטרמר מופיע בתמונה הימנית למעלה). שני המבנים פעילים בזירוז התגובה להפיכת פנילאלנין לטירוזין, אך פעילותו של הדימר יעילה פחות מזו של הטטרמר (9).
צפיה בדימר ובטטרמר מאפשרת הבנה של האופן בו נוצר המבנה הרביעוני של פניל אלנין הידרוקסילאז. כאמור, בדומיין האחראי לאוליגומריזציה ישנו סליל אלפא. בתהליך יצירת הדימר והטטרמר נצמדים סלילי האלפא של המונומרים השונים אלו לאלו ובאמצעות שחלוף דומיינים יוצרים מבנה של סליל מלופף (9). באופן הזה מתקבל מבנה רביעוני פעיל של החלבון פנילאלנין הידרוקסילאז, ומתאפשר תפקודו כזרז.
פעילות האנזים פנילאלנין הידרוקסילאז וחשיבותו
פנילאלנין הידרוקסילאז משתייך למשפחת חלבונים אשר מזרזים תגובת הידרוקסילציה של טבעות ארומטיות. הוא מזרז הפיכתה של פנילאלנין לטירוזין באמצעות הוספת קבוצה קרבוקסילית לטבעת.
פנילאלנין היא חומצה אמינית חיונית שמשתתפת בתהליך יצירת נוירוטרנסמיטרים האחראיים לפעילות תקינה של המוח.
ניתן לקבל חומצה אמינית זו ממזון כמו מוצרי בשר, חלב וקטניות. כמו כן היא נמצאת במזונות עמילניים (כמו תפו"א, פסטה, תירס) . פנילאלנין מצויה בחלב אם של יונקים ומשמשת כחומר משכך כאבים ונוגד דיכאון.
המבנה הכימי של פנילאלנין:

פנילאלנין מסונתזת ע"י יצורים חיים כמו פטריות, צמחים ומיקרואורגניזמים אחרים ולא מסונתזת, כאמור, בגוף האדם - לכן היא נחשבת לחומצה אמינית חיונית, והאדם חייב לקבל אותה מן המזון. (2)
שימושים נוספים בפנילאלנין: תוסף מזון לבעלי חיים, לספורטאים ולייצור אספרטיים (ממתיק מלאכותי למשקאות מוגזים, גומי לעיסה ומזון אחר).(1)
טירוזין היא חומצה אמינית המשמשת לתהליכים שונים בגוף ובמיוחד ידועה כבסיס להורמון תירוקסין המופרש מבלוטת התריס ואחראי על חילוף החומרים בגוף (3). כמו כן משמשת טירוזין בתהליכי הסינתיזה של מוליכים עצביים מסוג קטכולאמינים - דופאמין, אדרנלין, נוראדרנלין, וגם כמקור למלנין (פיגמנט של העור)(4) .
טירוזין נוצרת בגוף מן החומצה האמינית פנילאלנין. כאמור, האנזים פניל אלאנין הידרוקסילאז משמש זרז בתגובה. אי לכך, טירוזין אינה חומצה אמינית חיונית (אין צורך בצריכת מזון כלשהו בכדי לספק אותה).
יחד עם זאת, ניתן למצוא טירוזין במזונות כמו סויה, עוף, דגים, בוטנים, שקדים, אבוקדו, בננות, חלב ומוצריו (בעיקר גבינה צהובה, יוגורט וגבינת קוטג'), שעועית, פול, גרעיני דלעת, גרגירי שומשום וכן בתוספי תזונה שונים.(3)

מן המחקר המדעי עולה כי מטרת הפיכתה של הפנילאלנין לטירוזין היא סילוק הפנילאלנין מהגוף ולא יצירת הטירוזין, שכן, בד"כ לא קיים מחסור בטירוזין מן המזון. כמו כן לא קיימת בעיה של סילוק הטירוזין, שכן הוא מתפרק ויוצא מהגוף במהלך מעגל קרבס.
לצורך פעילות האנזים פנילאלנין הידרוקסילאז (PAH) נדרש, כאמור, הקופקטור BH4 (טטראהידרוביופטרין - תרכובת הטרוציקלית המכילה קבוצות קטו וקבוצות אמין). להלן השינויים שעובר BH4 במהלך התגובה להפיכת פנילאלנין לטירוזין:
היסטידין His 285 וטריפטופן Trp326 יוצרות אינטראקציות π-π בין הטבעות הבנזניות שלהן ואלה של הסובסטראט (פנילאלנין), וארגינין Arg270 , סרין Ser349 ותראונין Thr278 מגיבות עם הקבוצות הטעונות של הסובסטראט. האינטראקציות גורמות לכך שפנילאלנין מקבל כיווניות מתאימה להמשך התגובה.
יון הברזל נקשר בין החנקן בחומצות אמיניות היסטידין His285 ו- His290 לבין החמצן בחומצה האמינית Glu330. מולקולת החמצן נקשרת לקשר הכפול של BH4 וגם ליון הברזל.
מצב המעבר של אתר הקישור בין האנזים לסובסטרט מתואר להלן:(5)

גילוי אופן פעילותו של האנזים ותפקידו בהתפתחות המחלה פנילקטונוריה (PKU) קידמו רבות את המחקר המדעי. נמצא כי קיימות יותר מ-500 מוטציות שונות בגן המקודד ליצירת פנילאלנין הידרוקסילאז אשר גורמות למחלה PKU פנילקטונוריה (9).
בדיקת גוטרי היא בדיקת דם שנערכת בקרב יילודים. בבדיקה נבדקת רמת החומצה האמינית פנילאלנין בדם, וכבר בדם של יילוד בן יומיים ניתן לזהות רמות גבוהות של פנילאלנין בדם, המעידות על חסר באנזים פנילאלנין הידרוקסילאז (9).
מוטציות הפוגעות בפעילות האנזים פנילאלנין הידרוקסילאז
החלפת פרולין Pro281 בלויצין - פרולין מכתיבה פיתול בשרשרת הפוליפפטידית. פרולין Pro281 ממוקמת בסמך ליון הברזל ומכתיבה מבנה מרחבי מסויים. החלפתה בלויצין משנה את המבנה המרחבי של האתר הפעיל, פוגמת בפעילות האנזים וגורמת למחלה (9).
החלפת ארגינין Arg408 בטריפטופאן - ארגינין Arg408 מייצבת קשרי מימן בין הדומיין הקטאליטי לבין הדומיין שאחראי על אוליגומריזציה. ארגינין גם מאפשרת עמדה מדוייקת של 4 מונומרים זה ביחס לזה, לשם שחלוף דומיינים ויצירת טטרמר. הטריפטופאן מפריעה ליצירת קשרי מימן ומשבשת את יצירת הטטרמר וגורמת בכך לסימפטומים חמורים של PKU פנילקטונוריה (9).
החלפת חומצה גלוטאמית Glu76 באלנין ובגליצין - גלוטמית Glu76 יוצרת קשרי מימן עם היסטידין His208 ועם אספרגין Asn73 במונונמר אחר ובכך יוצרת דימר. החלפתה בארגינין ובגליצין שהן חומצות אמיניות הידרופוביות מונעת יצירת קשרי מימן ופוגעת ביצירת הדימר (9).
החלפת גליצין Gly46 בסרין - מאפשרת יצירת קשרי מימן במקומות לא נכונים וגורמת לעיוות במבנה השניוני של האנזים. הדבר מביא ליצירת אגרגטים של אנזים בלתי פעיל ולהתפתחות המחלה (9).
לסיכום
האנזים פנילאלנין הידרוקסילאז הינו זרז בתגובה המסלקת ריכוזים גבוהים של החומצה האמינית פנילאלנין באמצעות הפיכתה לטירוזין. המבנים הפעילים שלו הם המבנה הדימרי והמבנה הטטרמרי. מוכרות מאות מוטציות הפוגמות במבנה החלבון ומשבשות את פעילותו התקינה. חלק מן המוטציות פוגעות באופן ישיר באפשרות ליצירת דימרים וטטרמרים, או גורמות ליצירת אגרגטים של מונומרים. בכל המקרים מתקבל חלבון לא פעיל . בהעדר פעילות החלבון, אין בגוף גורם שיטפל בפנילאלנין. היא מצטברת בגוף וגורמת למחלות קוגניטיביות קשות - הידועה מביניהן היא מחלת
פנילקטונוריה .
ביבליוגרפיה