User:Audrey Marjamaa/Sandbox 1
From Proteopedia
<
User:Audrey Marjamaa
Jump to:
navigation
,
search
proteopedia link
proteopedia link
Lipoprotein Lipase with GPIHBPI complex
spin
quality
labels
all models
Lipoprotein Lipase 6OB0
Show:
Asymmetric Unit
Biological Assembly
Drag the structure with the mouse to rotate
Export Animated Image
Contents
1
Introduction
2
Function
3
Disease
4
Relevance
5
Structural highlights
5.1
Lid Region
Introduction
Function
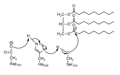
Figure 1. The coolest image of this mechanism EVAH!!!
Disease
Cornary heart disease
Relevance
Structural highlights
Lid Region
References
Student Contributors
Audrey Marjamaa
Aniyah Coles
Sarah Maarouf
Proteopedia Page Contributors and Editors
(
what is this?
)
Audrey Marjamaa
Views
User page
Discussion
Edit this page
History
Personal tools
Log in / request account
Navigation
Main Page
Table of Contents
Structure Index
Random
Recent Changes
Help
Cookbook
Search
Toolbox
What links here
Related changes
Upload file
Special pages
Printable version
Permanent link