This old version of Proteopedia is provided for student assignments while the new version is undergoing repairs. Content and edits done in this old version of Proteopedia after March 1, 2026 will eventually be lost when it is retired in about June of 2026.
Apply for new accounts at the new Proteopedia. Your logins will work in both the old and new versions.
Sandbox Reserved 765
From Proteopedia
(Difference between revisions)
| Line 54: | Line 54: | ||
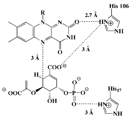
[[Image:Chorismate Synthase Mechanism.jpg|thumb|540px|Figure 3. The main mechanism of chorismate synthase involving HIS 17.]] | [[Image:Chorismate Synthase Mechanism.jpg|thumb|540px|Figure 3. The main mechanism of chorismate synthase involving HIS 17.]] | ||
If we examine the image above we can see that FMN gets reduced and the phosphate group that is on carbon number 3 within the cyclic structure is removed and replaced by a double bond between carbon 2 and 3. | If we examine the image above we can see that FMN gets reduced and the phosphate group that is on carbon number 3 within the cyclic structure is removed and replaced by a double bond between carbon 2 and 3. | ||
| - | + | [[Image:HIS 17 and HIS 106.png]] | |
</StructureSection> | </StructureSection> | ||
Revision as of 23:45, 5 December 2013
| This Sandbox is Reserved from Sep 25, 2013, through Mar 31, 2014 for use in the course "BCH455/555 Proteins and Molecular Mechanisms" taught by Michael B. Goshe at the North Carolina State University. This reservation includes Sandbox Reserved 299, Sandbox Reserved 300 and Sandbox Reserved 760 through Sandbox Reserved 779. |
To get started:
More help: Help:Editing |
Chorismate Synthase
| |||||||||||

