Image:Cob 1 alamin.jpeg
From Proteopedia

No higher resolution available.
Cob_1_alamin.jpeg (354 × 400 pixel, file size: 48 KB, MIME type: image/jpeg)
Summary
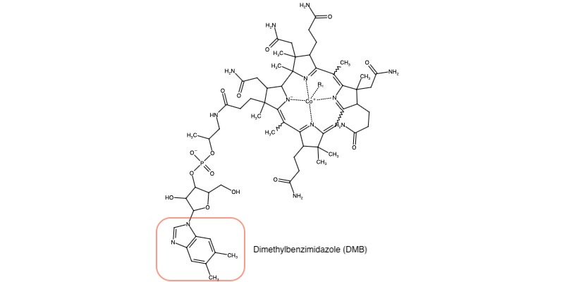
cob(i)alamin with dmb lower ligand
Licensing
|
|
File history
Click on a date/time to view the file as it appeared at that time.
| Date/Time | User | Dimensions | File size | Comment | |
|---|---|---|---|---|---|
| (current) | 17:28, 21 April 2022 | Karsten Theis (Talk | contribs) | 354×400 | 48 KB | cropped version |
| 14:12, 13 April 2022 | Kia Yang (Talk | contribs) | 800×400 | 26 KB | cob(i)alamin with dmb lower ligand |
- Edit this file using an external application
See the setup instructions for more information.
Links
The following pages link to this file:
Metadata
This file contains additional information, probably added from the digital camera or scanner used to create or digitize it. If the file has been modified from its original state, some details may not fully reflect the modified image.
| Date and time of data generation | 13:23, 21 April 2022 |
|---|---|
| Orientation | Normal |
| Software used | Windows Photo Editor 10.0.10011.16384 |
| File change date and time | 13:24, 21 April 2022 |
| Date and time of digitizing | 13:23, 21 April 2022 |
| DateTimeOriginal subseconds | 00 |
| DateTimeDigitized subseconds | 00 |
| Color space | sRGB |
